En previos artículos se habló de la gestión de stocks o existencias, de su importancia en el funcionamiento de las empresas, específicamente el relacionado con los procesos de 
Las clasificaciones de “stocks” más relevantes y por ende útiles clasificaciones son las que establece la Doctora en Ciencias Económicas y Empresariales por la Universidad de Málaga, Francisca Parra Guerrero en su obra “Gestión de Stocks (2Ed)”:
Clasificación según la función que desempeñan los stocks en la empresa
Existencias de seguridad o de protección
Volumen de stocks que se mantiene en almacén superior al necesario para el funcionamiento normal de la empresa que se constituye como protección frente a la incertidumbre de la demanda y del plazo de entrega del pedido, ello se puede ejemplificar y aplicar en las siguientes situaciones.
- Situación 1: “Si existe un cierto tiempo entre el momento en que se hace el pedido al proveedor, y el momento en que éste llega al almacén, es decir, los aprovisionamientos no son instantáneos, entonces es indispensable prevenir un cierto número de existencias para hacer frente a la demanda o salidas de almacén, durante el plazo de reposición. Si durante este espacio de tiempo la demanda es exactamente conocida, no hay ningún inconveniente en calcular las existencias necesarias para este fin. Sin embargo, si la demanda es aleatoria, entonces tendremos un factor de incertidumbre en la cantidad necesaria de existencias futuras para hacer frente a esta demanda”.
- Situación 2: “Si se requiere el aprovisionamiento en almacén de existencias de seguridad donde la demanda es bien conocida en todo momento pero existe ahora un factor de incertidumbre en el plazo de reposición. Si el plazo de reposición es aleatorio, es necesario contar con un cierto número de existencias, suficientes para atender la demanda durante los días en que el nuevo pedido puede tardar en llegar al almacén por encima del tiempo que se considera como plazo normal; si no fuera así existe el riesgo de que falten existencias para atender a las salidas ciertos días, si el nuevo pedido tarda en llegar un tiempo imprevisto”.
Nota: Las dos situaciones anteriores podrían darse de forma conjunta.
Existencias medias
Es el volumen medio de existencias que tenemos en el almacén durante un periodo de tiempo representa la inversión media que tenemos en existencias.
Si queremos calcular las existencias medias para un periodo de tiempo superior a un plazo de aprovisionamiento, habrá que aplicar la media ponderada según el sistema que se trate:
- Pedidos en cantidades fijas y fechas fijas. Los tiempos que median entre dos llegadas consecutivas al almacén son uniformes y las existencias máximas y mínimas en cada ciclo son iguales, por lo
que el valor de existencias será constante e igual a la media aritmética simple de existencias máximas y mínimas de un solo plazo de aprovisionamiento. Destacamos que, no es necesario mantener existencias de seguridad, pues todos los elementos que median en la gestión son totalmente cuantificables. Esto supone que las existencias mínimas serán cero, por lo que las existencias medias serán iguales al volumen del lote a pedir Q, dividido por dos, como se muestra en la imagen.
- Pedidos en cantidades fijas y fechas variables. Si el plazo de entrega es nulo, es decir los aprovisionamientos son instantáneos, los niveles de existencias máximos son todos iguales y los mínimos de existencias serán cero, por tanto las existencias medias serán también Q/2.
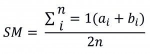
- Pedidos en cantidades variables y fecha fija. Si los pedidos se hacen siempre con la misma frecuencia pero por cantidades variables, o sea, que los plazos de aprovisionamiento son iguales, nos encontraremos con distintos niveles máximos de existencias
en almacén y si la demanda es aleatoria con distintos niveles mínimos. Para calcular en éste caso las existencias medias, calcularemos la media aritmética simple de todas las existencias máximas y mínimas habidas durante dicho período de tiempo T; donde “ai” son los niveles máximos de existencias, “bi” los niveles mínimos de existencias y “n” es el número de plazos de aprovisionamiento comprendidos en el tiempo al cual referimos las existencias medias (T), como se muestra en la imagen.
- Pedidos en cantidades variables y fechas variables. En este caso es evidente que para cada plazo de aprovisionamiento, tendremos unos niveles máximos y mínimos de existencias distintos con las consiguientes existencias medias. Además, como los plazos de aprovisionamientos que tienen una duración
variable, habrá que cuantificar las existencias medias globales mediante una media aritmética ponderada; donde “ai” y “bi” corresponden a los niveles de existencias máximo y mínimo respectivamente, “ti” son las unidades de tiempo que transcurren entre la llegada al almacén de dos pedidos consecutivos y “T” es el período de tiempo total al cual referimos las existencias medias, en las unidades de tiempo correspondientes, como se muestra en la imagen.
Existencias de anticipación
Se trata de existencias de producción estacional o periódica, como es el caso de materias primas de las que hay que aprovisionarse en el momento en el que estás están disponibles. Pueden constituirse también para situaciones en las que es conveniente aprovisionarse en el momento en el que el precio del artículo es más bajo con la intención de especular con ellos o para utilizarlos en periodos en los que el aprovisionamiento es más costoso, como en situaciones de huelgas.
Existencias sobrantes
Constituyen existencias sobrantes todos aquellos artículos que estando en buen estado no son necesarios. Estas existencias deben salir del almacén, bien sea utilizándolo de otro modo al que en principio estaba destinado, o bien, si es posible, devolviéndolo al proveedor, o si no hay otra solución, tirándolo. Estos artículos no deben ser abandonados indefinidamente en el almacén.
Existencias activas
Este tipo de existencias son conocidas también como existencias normales, existencias cíclicas o existencias de trabajo, las cuales no se compran o producen artículos a medida que se van demandando, sino que se lanza una orden de pedido de un tamaño superior a las necesidades del momento, dando lugar a existencias que son consumidas a lo largo del tiempo. Además, abastecen la demanda de la empresa en una situación normal de funcionamiento y son cíclicas.
Clasificación de stocks según la naturaleza física de los productos
Según la duración de la vida útil de los productos
- Perecederos
- No perecederos
- Artículos con fecha de caducidad marcada
- Según el tipo de actividad de la empresa
Según el tipo de actividad de la empresa
- En empresas comerciales
- Artículos básicos.
Productos que caracterizan a una empresa y que la incluyen en un sector determinado.
- Artículos obsoletos o pasados de moda. Artículos a los que no se dio salida en periodos de venta anteriores. Estos artículos han de dejar de ocupar un lugar en el almacén ya que esto lleva a un coste, por lo que habrá que encontrar la forma de darles salida.
- Artículos deteriorados o defectuosos. El volumen de este tipo de artículos en una empresa comercial no suele ser elevado, ya que normalmente el proveedor suele hacerse responsable, sobre todo si el defecto es de fábrica. En caso contrario también es importante dar salida a estos artículos.
- Artículos complementarios. Formado por artículos que no son esenciales para la empresa comercial, pero que son necesarios para dar un mejor servicio al cliente.
- En empresas industriales
- Materias primas. Este tipo de existencias es necesario
para abastecer el proceso productivo, si se agota la materia prima el proceso de producción se verá interrumpido. El ritmo de fabricación será el que marque las salidas del almacén de materia prima.
- Productos semi-acabados procedentes de los proveedores exteriores. La gestión de este tipo de existencias tiene las mismas características que las materias primas.
- Productos semi-elaborados, pero no procedentes de proveedores exteriores, sino de una fase del proceso productivo. Son productos que ya han sufrido parte de las operaciones de producción y están a la espera de entrar en otra fase para continuar el proceso de producción. Su venta no tendrá lugar hasta que se complete dicho proceso productivo. Este tipo de existencias ha de suponer unos costes mínimos pero a la vez su volumen ha de ser el adecuado para cumplir con su objetivo, la continuidad del proceso productivo.
- Productos acabados. Son los artículos finales destinados al consumo final o a la venta.
- Todos aquellos artículos y piezas de maquinaria necesarias para solucionar averías.
- Lo normal es que una empresa sea capaz de producir varios artículos, en la mayoría de los casos una misma máquina es utilizada para la producción de más de un tipo de artículo, pero para esto es común que haya que cambiar alguna pieza o componente de la máquina. Estas piezas y componentes constituyen las existencias de recambio.
- Suministros industriales. Todo material necesario para el mantenimiento y buena conservación del equipo industrial.
En este tema se pudieron reconocer dos tipos de clasificación de stocks y aunque pueda haber diferencias sobre su selección y organización de los artículos para la producción y distribución de los productos y servicios que ofrece una empresa, es evidente que ambas clasificaciones persiguen un mismo objetivo que es la gestión adecuada de las existencias que posee la empresa, lo cual permitirá reducir tiempos, así como esfuerzos y por ende incrementara la calidad en cuestiones de producción, disponibilidad y de atención al cliente. Por esto y más, tanto emprendedores como empresarios deben buscar el asesoramiento de expertos en la gestión de inventarios para crear mejores estrategias logísticas, que se traducen en mayor prestigio y fidelización hacia una marca específica, sustentándolo no solo en “apariencia”, sino en calidad. Ante ello, incorporar herramientas virtualizadas a través de la Web, como software de Punto de Venta para estar siempre en contacto con los proveedores de la empresa, y Sistemas ERP para PyME’s, como los que proporciona Villanett, dará por consiguiente una excelente administración de stocks.
También te puede interesar:
| MÉTODOS PRINCIPALES DE ADMINISTRACIÓN DE INVENTARIO |
| CLASIFICACIÓN DE LOS SISTEMAS DE GESTIÓN DE EXISTENCIAS |
| MÉTODOS DE CONCILIACIÓN DE CUENTA BANCARIA |
que el valor de existencias será constante e igual a la media aritmética simple de existencias máximas y mínimas de un solo plazo de aprovisionamiento. Destacamos que, no es necesario mantener existencias de seguridad, pues todos los elementos que median en la gestión son totalmente cuantificables. Esto supone que las existencias mínimas serán cero, por lo que las existencias medias serán iguales al volumen del lote a pedir Q, dividido por dos, como se muestra en la imagen.
en almacén y si la demanda es aleatoria con distintos niveles mínimos. Para calcular en éste caso las existencias medias, calcularemos la media aritmética simple de todas las existencias máximas y mínimas habidas durante dicho período de tiempo T; donde “ai” son los niveles máximos de existencias, “bi” los niveles mínimos de existencias y “n” es el número de plazos de aprovisionamiento comprendidos en el tiempo al cual referimos las existencias medias (T), como se muestra en la imagen.
variable, habrá que cuantificar las existencias medias globales mediante una media aritmética ponderada; donde “ai” y “bi” corresponden a los niveles de existencias máximo y mínimo respectivamente, “ti” son las unidades de tiempo que transcurren entre la llegada al almacén de dos pedidos consecutivos y “T” es el período de tiempo total al cual referimos las existencias medias, en las unidades de tiempo correspondientes, como se muestra en la imagen.
Productos que caracterizan a una empresa y que la incluyen en un sector determinado.
para abastecer el proceso productivo, si se agota la materia prima el proceso de producción se verá interrumpido. El ritmo de fabricación será el que marque las salidas del almacén de materia prima.